4.局部应变法(E-N)
S-N方法适用于只有弹性应力和应变存在的情况。尽管大多数零件名义上都具有循环弹性应力,但是对与有切口、焊缝和其他存在应力集中的零件,会导致零件产生局部的循环塑性变形。对于这种情况,20世纪50年代发展了一种利用局部应变作为主要疲劳参数的方法,并显示出其在零件疲劳寿命预测方面更具有有效性。

局部应变法基于这样一个假设,即有切口零件的裂纹成核和小裂纹扩展的疲劳寿命可以用试验室光滑试样在相同循环变形下裂纹萌生出的疲劳寿命来近似。也就是具有同样的局部应变就具有同样的裂纹起始寿命。如果载荷历程是不规律或随机的,并且认为平均应力和载荷顺序效应是非常重要的,这时应优先采用局部应变-寿命法。对长寿命预计(高周疲劳),E-N与S-N的效果接近,对低周疲劳,E-N更好。此方法分析计算的寿命理论上认为是裂纹出现阶段的寿命,常用于汽车零部件疲劳耐久分析。它的基本分析流程如下图:

金属材料的E-N曲线的获取可以遵循国标GB/T 15248-2008或者ASTM-E606,下图是两种典型的疲劳试验试样结构和几何尺寸。

试验设备一般采用液压伺服试验机与应变仪进行闭环控制,前些年笔者曾同上海交大合作使用电磁伺服试验机配合光学应变测量设备测试汽车用薄板的E-N曲线,精度要好很多,试验的一致性很好。



通过试验,可以获得材料的循环应力应变曲线和应变-寿命曲线并拟合处E-N曲线中的各个参数。
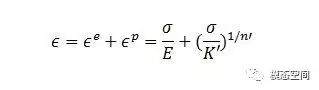
对于一个材料力学的金属试样,我们可以很容易的计算出材料的工程应力和工程应变以及真应力和真应变。真应变由两部分组成,塑性应变和弹性应变。


在循环载荷作用下,材料会出现循环硬化或循环软化的现象。在瞬态循环硬化的过程中,应力随循环次数的增加而增加,在循环瞬态软化过程中,应力随循环次数的增加而减少。在这两种情况中,外加应力的变化率将会逐渐降低,应力幅将会达到一个稳定的水平(一种稳定状态),并其在以后的疲劳寿命过程中会继续保持稳定,直到出现第一道疲劳裂纹为止。



相对于整个疲劳寿命,由于这种瞬态响应的循环次数百分比非常小,瞬态循环特性采用局部应变-寿命方法的循环稳态特性进行处理。与金属晶格位错子格的稳定性相关,对铝合金之类的低位错密度软金属材料倾向于硬化,对钢之类的硬金属材料则倾向于软化。
循环稳态应力-应变是一个滞后回线,如下图所示。在加载过程中作用在材料上的弹性功和塑性功由整个应变范围和整个应力范围定义的滞后回线表示。通常,稳定的滞后回线取自疲劳寿命的1/2处。



当一簇具有多种应变幅水平的稳定滞后回线绘制在相同的坐标轴系中时,循环应力应变由滞后回线尖端的轨迹定义,并具有与材料力学的单向应力-应变曲线相似的如下形式。



除了少数材料之外,一般可以从材料的循环应力应变曲线来估计滞回环曲线,即把循环应力应变曲线增大一倍得到滞回环曲线。



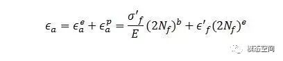
由稳定的滞后回线和应变-寿命数据可以确定应变与寿命之间的关系,由弹性部分和塑性部分组成:



这个方程被称为应变-寿命方程,是基于应变法确定疲劳的基础。这个方程式两个独立曲线相叠加而成,及弹性应变幅-寿命曲线和塑性应变幅-寿命曲线。当用双对数坐标绘制时,两个曲线都变成直线。


循环应力应变曲线和应变寿命曲线组合在一起就是材料的E-N曲线。



在耐久设计中,非零平均正应力的存在可以影响材料的疲劳特性,因为拉伸或压缩平均正应力对裂纹的产生和生长具有促进或减弱的作用。试验数据证明,压缩平均正应力是有益的,而平均拉应力是有害的。结合E-N法,提出了许多用于量化平均应力对疲劳特性影响的模型。地面车辆行业通常采用的模型是莫洛模型和SWT(史密斯-沃森-腾普)模型。这些方程都是以经验为基础的,需要与试验数据进行对比,已确定哪个模型最适合。



比较有趣的是,有时候看似相似的载荷却有着不同的平均应力而导致不同的疲劳耐久寿命,比如下图的两组载荷。


材料在承受循环加载时, 其应力-应变响应表现出所谓的记忆特性。比如下图中,材料第一次受载时,其应力-应变响应按照循环应力-应变曲线从O变到A;A点以后卸载,按照滞回环曲线从A变到B;B点以后加载,按照滞回环曲线从B变到C;C点以后卸载,按照滞回环曲线从C点变到B;值得注意的是,超过B点以后,不再沿从C点开始的滞回环曲线发展下去,而是急转沿从A点开始的滞回环曲线发展,直至D点;就好像在中间没有过一个滞回环B-C-B、而直接从A变到D点一样,似乎材料“记住”了它应该有的路径。这就是材料的记忆特性。也称为材料的Baushinger效应。



在疲劳设计中,有时无法直接获得局部的塑性应变,比如在试验测试时,获得的结果往往是名义应变;有限元疲劳分析中,常常由于计算资源的限制,只计算弹性应力、应变。这个时候就要进行弹塑性修正,将弹性应力和应变修正成塑性应力和应变。最常用的修正方法是Neuber修正。Neuber假设弹性应力集中系数为真实应力和应变集中系数的几何平均值。对局部屈服应力、平面应力和单向应力有效。尽管未能计算有效截面的总屈服应力,但对大多数汽车设计应用,零件名义弹性特性的假设被认为是非常有用的。



Neuber修正还有一个很有用的应用就是根据两种材料的E-N曲线来比较他们的疲劳耐久性能,比如下图的两种材料,具有不同的的屈服强度,应变-寿命曲线是相交的,很难直接比较。但是通过Neuber修正,将他们放在应力-寿命的图上就可以很容易的比较出他们的疲劳耐久性能的差异了。


5.其他疲劳寿命估计方法
除了S-N和E-N方法之外,断裂力学法也是应用很广泛的一种疲劳寿命估计方法,是预计裂纹扩展寿命的主要方法,但是这种方法在汽车行业中没有得到广泛的应用。这主要是因为一般难以获得典型零件的应力强度因子;在分析中难以考虑缺口根部的塑性影响等。该方法主要用于飞机、压力容器和桥梁设计中。


除此之外,还有很多其他的疲劳寿命估计方法,都有其特定的应用对象,这里就不逐一介绍了:
• 多轴疲劳
• 频域疲劳
• 热机疲劳
• 腐蚀疲劳
• 复合材料疲劳
• 接触疲劳
• …
6.线性损伤模型
预测承受变载荷结构件的疲劳损伤,最简单和应用最广泛的损伤模型是线性损伤(Miner准则)。通俗点讲,就是认为每一次载荷循环造成的损伤可以线性累积,累积到一定程度就失效了。
1924年由帕姆格伦(Palmgren)首次提出线性损伤模型,并应用于瑞典的滚珠轴承行业。在1937年,兰格(Langer)在西屋电气公司发电领域从事研究工作,独立提出了用于压力容器和钢制管道系统零件的类似线性准则。1945年,在兰格工作的基础上,道格拉斯飞机公司(Douglas Aircraft)的Miner将线性损伤准则应用与飞机蒙皮材料的拉伸-拉伸轴向疲劳试验数据(24S-Talclad铝合金)。Miner证实,根据线性损伤准则预测的结果与他的实验结果之间具有非常好的一致性。这次成功的验证,将Miner的名字和线性损伤准则紧密联系在一起,线性损伤准则通常是指Miner的线性损伤准则。
Miner准则简单说就是累积损伤超过1时,结构失效,是一种线性累积分析方法。Miner是不考虑载荷的加载顺序的。



但是,很多情况下,应用线性准则会得出偏冒险的寿命预测。这种方法取得的结果没有考虑载荷谱循环疲劳载荷造成的累计损伤的影响。自引入线性损伤准则以来,为提高疲劳耐久寿命预测的精度,提出了许多不同的疲劳损伤理论。
7.变幅载荷下的疲劳分析
前面介绍的都是在恒幅载荷下的疲劳失效预测方法,在实际的工程实践中,很少有恒幅载荷,无论是道路载荷谱还是设计台架试验,大多是变幅载荷,此时就可以利用线性损伤模型和雨流计数来进行计算。
雨流记数法是一种两参数循环记数法,最主要的优点就是能如实再现变幅循环加载,可以识别复杂载荷序列中与恒幅疲劳数据相似的事件。



在随机载荷作用下,在材料中形成的每个滞回环就构成一个疲劳损伤单元。在已知材料应变历程的情况下, 利用材料循环应力-应变曲线和雨流计数法进行局部应力-应变分析,就可以确定各个滞回环,为计算疲劳寿命奠定基 础。这样作的本质是把一个随机载荷信号转换成一系列的等幅载荷信号,以便利用材料的疲劳性能参数计算随机载荷信号造成的疲劳损失。材料的疲劳性能参数都是通过等幅试验得到的。在确定了各个滞回环,并且已知材料的E-N曲线的条件下,就可以计算每个滞回环的疲劳损伤。将他们通过Miner准则叠加之后,就可以确定整段随机载荷所造成的损伤了。


来源:模态空间









